

重复测量数据中可能存在练习效应,该如何考虑它的影响呢?今天我们团队的统计师和大家讨论讨论!

首先,何为练习效应?
什么是练习效应?举个例子来说就是重复做一套试卷,带来的成绩提升,是由多次练习引起的,和真实能力无关。
在临床科研中,练习效应的干扰早已不是新鲜事,但它的危害却常常被低估。
神经心理测试作为评估认知功能的核心工具,在精神分裂症、轻度认知障碍等疾病的研究中被反复使用—— 从基线评估到后续随访,受试者可能要完成相同或相似的测试量表5-6次,而每一次重复都可能带来 “熟能生巧” 的成绩提升。
UCSD团队在研究中指出,这种提升绝非微不足道。此前Goldberg团队的研究就发现,精神分裂症患者在服用第二代抗精神病药物后,认知测试成绩的改善幅度,居然和健康人群的练习效应相差无几——这意味着,很多被解读为“药物认知增强”的结果,可能只是测试熟练后的虚假提升。另一项涵盖12项安慰剂对照研究的分析也证实,练习效应对MATRICS共识认知量表得分的影响,堪比安慰剂效应,直接干扰治疗效果的判断。
展开全文文献分享
本次分享的文献聚焦纵向认知研究中重复测试引发的练习效应(PEs)对结果的干扰问题,尤其针对精神分裂症(SZ)患者与健康对照(HC)的认知轨迹分析。下面让我们一起走进这篇文献。
研究的真实数据来自175名受试者,包括90名精神分裂症患者和85名健康对照,基线年龄介于26.2-49.8岁,随访周期长达数年,每人最多完成6次认知评估。基于广义估计方程模型,先后构建了无练习效应、有练习效应的两个模型。
不含PEs的模型可表示为:

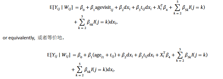
为明确估计PEs,引入指示函数对GEE进行了扩展:

结果解读
为了验证框架的有效性,UCSD 团队采用了“真实数据+模拟数据”的双重验证策略,其结果清晰地展现了练习效应校正的必要性。

通过线性混合效应模型对真实数据的分析发现,精神分裂症组的认知表现显著低于健康对照(β=-0.803,p<0.0001),教育程度越高,认知表现越好(β=0.093,p=0.0001),但未校正练习效应时,年龄对认知表现的影响无统计学意义(p=0.34)——这与常识中“年龄增长伴随认知衰退”的规律相悖,进一步提示练习效应的干扰。
为了量化这种干扰,团队基于真实数据的参数的构建了模拟数据集(n=500),分别设置“无练习效应”和“含练习效应”两种场景进行对比。
通过广义估计方程模型进行分析,结果发现:


在未纳入练习效应的模型中,年龄相关的认知衰退被严重低估(β≈-0.007,p<0.001),精神分裂症与健康对照的组间差异也被弱化;
而在纳入特定访视练习效应后,模型成功还原了年龄与认知的负相关关系(β=-0.00622,p=0.00064),组间差异也更为清晰(β=-0.79729,p<2×10⁻¹⁶)。
此外,模拟研究还证实了练习效应的动态变化规律:早期随访(第 1-2 次重测)的练习效应最强,之后逐渐递减并趋于平稳,这与临床实际观察完全一致。
同时,交互模型的结果显示,练习效应的强度不仅与诊断类型相关,还与基线年龄显著相关 —— 这为后续研究中针对性地设置练习效应校正参数提供了实证依据。

临床科研能挖掘到什么价值?
这项研究不仅提供了方法学参考,更给出了切实的落地建议:
首先,在研究设计阶段就应重视练习效应。尽量延长随访间隔,减少短期内的重复测试;若需频繁评估,可采用交替测试版本,降低熟悉度带来的练习效应。在数据分析阶段,建议常规纳入练习效应校正。
UCSD团队开发的这套框架,绝非单纯的统计方法创新,它的核心价值在于解决了临床科研中的实际问题,为不同领域的纵向认知研究提供了可直接应用的工具。如今公共卫生方向越来越受到关注,对老龄化认知衰退、痴呆等研究来说,这套框架也有值得借鉴之处。

)
)
)
)
)
)
)
)
)

)
)
)
)
)
)